無所不在的幽靈粒子——微中子探秘(下)

首先讓我們複習一下質量與電子伏特(electron volt, eV)的概念。粒子物理學中,電子伏特相當於一顆電子在一伏特電壓下所帶的能量,約為 $1.602 \times 10^{-19}$ 焦耳。質能等價公式($E = mc^2$)意味著質量與能量是一體兩面的,因此粒子物理學通常會省略常數 $c$,直接將質量用 eV 等單位來表示。電子與原子核之間的能級差約在 eV 尺度,這個能量大約就是將電子彈出原子的大小;假設原子核的束縛能落在 MeV,那麼一旦擁有 MeV 級的能量,就可以拆散原子核。對於日常生活而言,我們可能很難感知這個能量有多強大,畢竟:即使能量高達 $1\ \mathrm{GeV} \simeq 1.602 \times 10^{-10}$ 焦耳,但現實中一顆果子從樹上掉下來的能量大約就是 $1$ 焦耳、將近 $10^{10}\ \mathrm{eV}$($10\ \mathrm{GeV}$)了——所以我們應該用微觀的角度想:假設一顆蘋果由 $10^{25}$ 個基本粒子所組成,如果每個粒子都擁有 $10\ \mathrm{GeV}$ 的能量,蘋果所攜帶的總能量將高達 $10^{35}\ \mathrm{eV}$,相當於 $10^{16}$ 焦耳——這個能量大概可以撞出直徑一公里的隕石坑了!
在上一篇文章中,我們提及了微中子探測的歷史沿革、以及微中子一些耐人尋味的神奇性質。本篇文章將帶領大家探索微中子最核心的議題——微中子振盪、以及微中子如何挑戰現有的物理學模型。
一、謎之質量?——微中子振盪
從1960年代的實驗探測、一直到2015年的諾貝爾物理學獎,「微中子振盪」(neutrino oscillation)這個議題逐漸浮上檯面,同時也指出了一項事實:微中子的質量並不為零。這也意味著——定義出微中子與身俱來「質量為零」的粒子物理標準模型恐怕將需要改寫。
不過,想必不少讀者會好奇:「微中子振盪」為什麼意味著微中子具有「質量」?雖然對於微中子質量的生成機制我們尚未有個明確的論述,但微中子振盪倒是容易解釋得多,甚至用基礎的量子力學就足以說明。一言以蔽之就是:微中子振盪源於「微中子的質量與味特徵態(eigenstate)得以被區辨」這個假設。粒子物理學背後是場論的框架,場論的基礎是量子力學,而量子力學則是建構在向量空間之上。量子力學告訴我們粒子有各種不同的狀態(特徵態),其行為透過觀測所決定,不同的物理行為也會呈示出不同的表徵;就像是你在家說中文、在國際會議時就得說英文一樣,對於微中子而言,在自由空間傳播時會以「質量特徵態」描述、參與弱交互作用時則用以「味特徵態」描述。而我們所觀測到的微中子,其實也是不同特徵態的混合:如果用紅、綠、藍三原色來描述微中子的質量或味特徵態,我們所謂的「電微中子」大概就像是黃色——也就是紅色與綠色的「疊加」;至於混合的比例,則取決於混合角(mixing angle)的搭配。
聽起來可能有些抽象,但用數學式反而更好表達。為了簡潔性,我們在此僅考慮兩種不同味的微中子,對應到的特徵態分別是 $|\nu_e\rangle$ 與 $|\nu_\mu\rangle$,為了解釋微中子振盪、也就是不同「味」特徵態如何「混合」,量子力學的態疊加原理要求引入混合角 $\theta$ 以及對應到質量分別為 $m_1$、$m_2$ 的特徵態 $|\nu_1\rangle$、$|\nu_2\rangle$:
$$\left( \begin{array}{c}|\nu_e\rangle \\|\nu_\mu\rangle\end{array} \right)=\left( \begin{array}{cc}\cos\theta & \sin\theta \\-\sin\theta &\cos\theta\end{array} \right)\left( \begin{array}{c}|\nu_1\rangle \\|\nu_2\rangle\end{array} \right).$$
其中的矩陣在正式文獻中會是 $3 \times 3$ 的,也就是更廣義的 PMNS 矩陣(Pontecorvo–Maki–Nakagawa–Sakata matrix),不過我們在這裡就簡化討論。其實從上面這個式子,我們幾乎就可以總結說微中子振盪意味著它們具有質量了:因為從中可以看出,微中子振盪(也就是 $|\nu_e\rangle$ 與 $|\nu_\mu\rangle$ 的混合)的產生條件源於 $|\nu_1\rangle$、$|\nu_2\rangle$ 的不同,也就是 $m_1 \ne m_2$,這就表示至少有一者質量不為零;否則若 $m_1 = m_2 (= 0)$,即 $|\nu_1\rangle = |\nu_2\rangle$,振盪就不會發生!
不過為了完整性,我們還是繼續推導下去。考慮 $|\nu_\mu\rangle \to |\nu_e\rangle$ 此一過程,在 $t = 0$ 時 $|\nu_\mu(0)\rangle = -\sin\theta\, |\nu_1\rangle + \cos\theta\, |\nu_2\rangle$,而在時間演化下則有
$|\nu_{\mu}(t)\rangle = -\sin{\theta} e^{-iE_{1}t} |\nu_{1}\rangle + \cos{\theta} e^{-iE_{2}t} |\nu_{2}\rangle$
1如同夸克的例子中,描述「味混合」現象對應到的就是CKM矩陣。
注意:我們在此皆使用自然單位制($c = \hbar = 1$)。由於微中子以相對論性速度運動(即 $p \gg m$),其中的能量將會是 $E = \sqrt{p^2 + m^2} \simeq p + \frac{m^2}{2p}$。根據量子力學,在一段時間內觀測到微中子從 $|\nu_\mu\rangle$ 轉變成 $|\nu_e\rangle$ 的機率會是:
$P(\nu_{\mu} \rightarrow \nu_{e}) = |\langle\nu_{e}|\nu_{\mu}(t)\rangle|^2$
簡單整理後($E = p$,外加考量相對論性粒子傳播距離 $L \simeq t$),最後可以得出:
$P(\nu_{\mu} \rightarrow \nu_{e}) = \sin^2 2\theta \, \sin^2{\left( \frac{\Delta m^2 L}{4E} \right)}$
其中 $\Delta m^2 = m_2^2 - m_1^2$。而上述這就是微中子振盪的重點公式,從中我們可以歸納出幾個重點:
- 從 $\sin^2\theta$ 等週期函數項能看出,微中子轉變到不同「味」的機率呈週期變化,這也是「振盪」一詞的由來。
- 除了能量、質量與混合角,微中子振盪的發生機率也與粒子傳播距離 $L$ 有直接關聯。
- 如果任一微中子質量為零,$\Delta m^2 = 0$,則振盪發生機率為零。微中子振盪的實驗證據,意味著微中子具有非零質量。
- 我們無法從振盪機率直接推斷微中子的確切質量 $m_1$、$m_2$,只能量測出質量的平方差值 $\Delta m^2$,以及至少其中一者具有非零質量的事實。
在現有的微中子探測實驗中,可控的參數基本上就是能量 $E$ 與距離 $L$,比如筆者所在的美國費米實驗室(Fermilab),其中「短基線微中子計畫」(Short-Baseline Neutrino Program, SBN)就透過三台分別與粒子源有不同距離的探測器,測量微中子振盪。

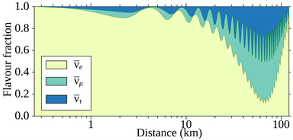
圖5-1: 同樣能級下,三種微中子發生振盪的可能性與傳播距離的關聯。(圖源:Wikipedia)

圖5-2: 緲微中子振盪的發生機率與距離-能量比值的關聯:藍色曲線為緲微中子、黑色為電微中子、紅色為淘微中子。由圖中可見,在L/E比值於15,000至20,000左右,緲微中子有最高機率會轉變為電微中子。(圖源:Wikipedia)
二、尚未露面——最神秘的「第四種」微中子?
在上一篇探討微中子左右手性(螺旋度)的章節中有提到,我們目前尚未觀測到右手性的微中子。理論上來說,一旦微中子獲得質量,將不可能恆定以光速運動,這使得左、右手性得已被區分開來,意味著必然會觀測到左、右手兩種特徵態。然而,弱交互作用中只有左手性微中子的參與,這就產生了一個矛盾:要不是標準模型錯了、可能就是那些右手性微中子連弱交互作用也不參與!「惰性微中子」(sterile neutrino)就是其中一類右手性微中子。
對於eV級別的惰性微中子,理論上通常會建構擴充版的4x4 PMNS矩陣,也就是所謂的「3+1模型」,亦即把第四種味納入現有的三種微中子框架中 。至於惰性微中子是否存在、是否會參與微中子振盪,這些尚屬目前學術界的活躍領域,諸如上一節提到的SBN計畫等短基線實驗,也會在不久的將來透過更高精度的探測來驗證惰性微中子的可能性。
三、插曲:淺談粒子質量、能量與探測難度
值得一提的是,上一段落提到的短基線實驗主要是針對能量落在「eV」等級的惰性微中子、從而驗證「3+1」模型的正確性。那麼還有其他能級的嗎?而這些不同質量、能量對應到的惰性微中子,又會對標準模型產生什麼樣的影響?
首先讓我們複習一下質量與電子伏特(electron volt, eV)的概念。粒子物理學中,電子伏特相當於一顆電子在一伏特電壓下所帶的能量,約為 $1.602 \times 10^{-19}$ 焦耳。質能等價公式($E = mc^2$)意味著質量與能量是一體兩面的,因此粒子物理學通常會省略常數 $c$,直接將質量用 eV 等單位來表示。電子與原子核之間的能級差約在 eV 尺度,這個能量大約就是將電子彈出原子的大小;假設原子核的束縛能落在 MeV,那麼一旦擁有 MeV 級的能量,就可以拆散原子核。對於日常生活而言,我們可能很難感知這個能量有多強大,畢竟:即使能量高達 $1\ \mathrm{GeV} \simeq 1.602 \times 10^{-10}$ 焦耳,但現實中一顆果子從樹上掉下來的能量大約就是 $1$ 焦耳、將近 $10^{10}\ \mathrm{eV}$($10\ \mathrm{GeV}$)了——所以我們應該用微觀的角度想:假設一顆蘋果由 $10^{25}$ 個基本粒子所組成,如果每個粒子都擁有 $10\ \mathrm{GeV}$ 的能量,蘋果所攜帶的總能量將高達 $10^{35}\ \mathrm{eV}$,相當於 $10^{16}$ 焦耳——這個能量大概可以撞出直徑一公里的隕石坑了!
2只不過MiniBooNE所探測到的低能級過剩(low energy excess, LEE)反常也超出了3+1模型的預期,雖說有可能指向新的振盪模式、但也有可能源於光子與電子訊號的辨別偏誤。
粒子對撞機的概念也是如此,不同的能量等級可以撞出結構更基本的粒子,當然,能量愈大也愈難實現,目前全球最大的對撞機LHC能產生的能量約13.6 TeV (約13,600 GeV),這個能量雖然對應到的不過是一隻蒼蠅起飛的動能,但在微觀世界中已經是足以模擬早期宇宙的能量級。好消息是,對於eV尺度的惰性微中子,我們並不需要用那麼高能的對撞機去尋找,而是透過「微中子探測器」、藉由微中子與原子或其他粒子的交互作用來推論它們的存在。
不過,惰性微中子也有可能攜帶更高能量,對於落在keV尺度的惰性微中子,則有可能是「溫暗物質」的候選者。甚至在一些理論中,它們的質量有可能達到更高的能量級,而這也使得我們目前尚未能從微中子探測器中觀測到。
四、未解之謎:從惰性微中子到物質起源
說到微中子質量生成的機制,我們目前所提到的假設都是微中子透過希格斯機制獲取質量,而這類型的微中子屬於「狄拉克費米子」(Dirac fermion)。但其實還有另一種可能性,認為微中子可能是「馬約拉納費米子」(Majorana fermion),即粒子本身就是反粒子,這種情況下質量則會透過「翹翹板機制」(seesaw mechanism)所獲得 。這種機制可以解釋超重的惰性微中子質量起源:在電弱對稱性發生自發破缺的槓桿上,如果一端的微中子愈輕,另一端惰性微中子的質量就愈重,總之兩者的乘積為一常數。我們目前觀測到的微中子質量幾乎是微乎其微,這就代表了翹翹板機制下的惰性微中子質量將會非常大、約落在低於「GUT能量」的幾個數量級——GUT即大統一理論(Grand Unified Theory),一旦能量高達1016 GeV,電弱交互作用與強交互作用會變得無法區辨、也就是除重力以外的三種交互作用將被「統一」,我們也相當於能重啟宇宙誕生後
3更具體來說,是「第一類」(type I)翹翹板機制。
10-36 秒時的情景。然而目前實驗尚遠無法達到此能標,而這也是和前述短基線實驗指向的eV能級、或者作為暗物質候選keV能級惰性微中子最大的不同。
圖6-1: 三種微中子與惰性微中子的比較。(圖源: www.quantumdiaries.org/2014/07/27/sterile-neutrinos/)
此外,高於GeV或TeV尺度的惰性微中子也可以解釋宇宙中粒子多於反粒子的起源。在粒子物理學中,弱交互作用會在一定程度上打破CP對稱性,其中C是電荷共軛(即粒子與反粒子互換)、P是宇稱(鏡像對稱),這就是所謂的「CP破壞」(CP violation)。如今的宇宙幾乎不見反物質的蹤跡、我們也得以存在,這其實是個反常的現象,因為理論上宇宙早期正反物質數量應當是均等的。而根據薩哈洛夫三要件(Sakharov conditions),CP破壞就是其中一個導因,當正反粒子數量上微小的平衡被打破後,就會像天秤最終徹底往一端傾斜那樣,在正反粒子湮滅的過程中、所剩的粒子以數量略多的優勢主宰了整個宇宙。這一系列過程就是「重子生成機制」(baryogenesis),而CP破壞至今仍是物理與宇宙學中相當重要的課題。
圖6-2: 我們身在物質主宰的宇宙,但宇宙中物質與反物質的不對稱性仍是未解之謎。(圖源:https://legend-exp.org/science/neutrinoless-bb-decay/the-matter-antimatter-asymetry)
雖然CP破壞已從夸克的交互作用與CKM矩陣中被證實,但這似乎還不足以解釋宇宙中為何幾乎沒有反物質的存在。換句話說,夸克家族的CP破壞太弱了,無法單獨解釋宇宙中重子不對稱的現象。也因此,人們把目光從夸克移向輕子家族,並嘗試引入了「輕子生成機制」(leptogenesis)。理論上此一機制會發生在重子生成之前:宇宙早期的大質量馬約拉納粒子(如惰性微中子)會先衰變成微中子與輕子,其中正、反輕子數的不對稱將進一步轉化成重子與反重子數目的不對稱,這也能允許較大的CP破壞相位、解釋宇宙中為何幾乎只有物質存在。
值得注意的是,輕子生成目前尚屬於超越標準模型(BSM)的新物理課題,且由於能量侷限,我們目前自然也無法透過加速器實驗來證實超重惰性微中子的存在。然而,CP 破壞相位 $\delta_{\mathrm{CP}}$ 其實與微中子振盪也有關聯:誠如 CP 破壞的首次驗證來自於夸克的 CKM 矩陣,微中子與輕子家族的 CP 相位本身也是前面提過 PMNS 矩陣中的其中一個參數。在不久的將來,諸如 DUNE(Deep Underground Neutrino Experiment)這類長基線實驗,將有可能探測出 CP 相位 $\delta_{\mathrm{CP}}$ 的精確值,簡單來說就是正反微中子的振盪發生率是否吻合,比如 $P(\nu_\mu \to \nu_e)$ 與 $P(\bar{\nu}_\mu \to \bar{\nu}_e)$ 是否相等,如果相位角夠大則將成為支持輕子生成機制的重要證據之一。
這裡最有意思的地方在於:雖然我們遠遠無法觸及翹翹板機制所描述的能量級,但卻能透過相對可行的微中子振盪來驗證CP破壞、甚至進一步支持諸如大質量惰性微中子這類馬約拉納粒子的存在,而這根本的原因就在於:兩者都源自於湯川耦合的交互作用模型——看似全然不同的兩套理論,其實內在邏輯都是息息相關的。
五、結語
微中子作為宇宙中相當古老、也是數量次多的基本粒子,它們無所不在,不僅遍佈了整個空間,也橫越了從宇宙太初時期至今的時間長河,時至今日依然有許多謎團等待科學家們逐一解開。我們也從這兩篇文章中探討了微中子的發現史、探測方法、質量之謎、以及微中子振盪、乃至於與宇宙學的關聯。從微中子振盪被觀測後,人們也意識到這些現象背後似乎也更深層、我們尚未理解的機制存在,這也使得微中子物理在近幾十年來都是粒子物理學的研究前沿。我們也期望在不久後的未來透過新一代探測器,將微中子的謎團、甚至宇宙的神秘面紗逐一揭開。